开云体育在线-Nature子刊!北大团队最新研究:中国高铁加剧了城乡间空气污染差距

xiaoqiao 25 0

北京大学贺灿飞、朱晟君联合复旦大学刘子亮,历时两年半,在国际顶级学术期刊Nature Cities 上发表了一项重要研究成果。



该研究利用涵盖三十多万条企业污染记录的微观数据、精度高达1平方公里的卫星遥感PM2.5数据,以及5平方公里网格化的人群健康数据,极其系统地评估了高铁开通对城乡空气污染及公共卫生差异的影响。其中,企业层面的空气污染和经济数据集来自中国财政部和国家气象局。网格层面的健康数据来自中国疾病预防控制中心。这些数据集根据保密协议提供给本研究使用,不对外公开。



论文题目:China’s high-speed rail widens urban–rural disparities in air pollution and public health(中国高铁扩大了空气污染和公共卫生的城乡差异)

通讯作者:刘子亮、贺灿飞

第一单位:北京大学 - 城市与环境学院

发表时间:2026年3月6日

摘要

空气污染常被视为城市问题,而农村地区的空气污染及其相关健康影响却鲜少受到关注。以中国为例,我们首先利用该国企业级废气排放数据、网格级PM2.5(细颗粒物)数据及网格级健康数据,证明农村地区的空气污染水平并不优于城市地区。进一步研究表明,高铁建设使城市地区在降低废气排放强度、PM2.5浓度及心血管疾病致死率方面取得的成效显著优于农村地区。这种城际交通基础设施的建设,可能加剧城乡间空气污染与公共卫生的差距。随后我们发现,高铁在城乡地区实施的不均衡影响,与资源向城市倾斜的空间再分配密切相关。最后指出,这种不均衡影响虽存在波动,但会随时间推移持续扩大,并在不同地理距离上呈现主导态势。本研究旨在通过引导更多关注农村地区空气污染与公共卫生问题,以及特定政策工具可能加剧的城乡差异,从而影响中国及其他新兴经济体对污染问题的认知。

导读

该研究基于中国多源细粒度数据发现,农村空气污染不亚于城市;高铁开通后,城市在减排与健康改善上获益更多,加剧了城乡差距,并揭示其源于资源向城市的再配置。

引言

研究背景

空气污染对人类健康和区域可持续发展有害,不仅损害身体健康和心理健康,还以多种方式抑制经济生产力。在新兴经济体中尤为严重,这些国家开始工业化并寻求提高收入水平。尽管科学界通常将空气污染视为城市问题,但农村地区的空气污染及其相关的健康影响同样值得关注,尤其是在新兴经济体中,农村地区往往面临较大的环境风险,并且大量与空气污染相关的死亡发生在农村。

科学问题与动机

核心科学问题是空气污染及其健康影响在城乡之间的差异。研究动因在于揭示高铁开通后,资源的空间再分配如何导致城乡差距扩大,特别是在空气污染和公共健康方面。

现有研究不足

现有研究多集中于城市空气污染及相关的健康风险,而对农村空气污染关注较少,无法提供缓解城乡不平等的有效政策建议。此外,虽然许多研究探讨了城际交通基础设施的经济影响,但对于其环境影响以及相关健康影响知之甚少。

研究目标与创新

本文旨在通过定量分析大规模数据集,揭示中国高铁建设对城乡空气污染和公共健康的不平等影响。研究表明,高铁开通后,城市地区在减少废气排放强度、PM2.5浓度和心血管疾病死亡率方面的效果优于农村地区,从而加剧了城乡差距。本文还强调了某些政策工具(如高铁)可能无意间扩大城乡差距,为理解交通基础设施的社会福利提供了新视角。

方法

数据来源与类型

研究采用2013–2016年中国国家税务局企业污染与经济数据,覆盖全国约66%的增加值和税收。企业层面废气排放强度、能源消耗等变量通过逆双曲正弦变换处理。PM2.5浓度来自哥伦比亚大学SEDAC的卫星数据(1 km × 1 km分辨率),心血管疾病死亡率基于中国疾控中心5 km × 5 km网格健康数据。高铁站位置及城市社会经济变量从公开数据库获取。

核心方法或技术

采用双重差分法(DD)和三重差分法(DDD)模型评估高铁开通对城乡废气排放、PM2.5浓度及心血管疾病死亡率的影响。核心解释变量为高铁连接虚拟变量及其与城乡区域的交互项,控制变量包括人均GDP、人口密度等。针对时间异质性,加入相对高铁开通年份的时间虚拟变量;针对空间异质性,设置以高铁站为中心的缓冲区虚拟变量。

研究过程或实验步骤

首先清理企业数据,剔除异常值及缺失值,并进行变量标准化处理。随后构建DD和DDD模型,分别分析高铁开通对废气排放、PM2.5浓度及心血管疾病死亡率的总体效应和城乡差异。通过引入时间虚拟变量和距离缓冲区虚拟变量,进一步探讨时间与空间异质性。所有回归均控制企业和年度固定效应,稳健标准误聚类至企业或网格层面。

结果

农村与城市空气污染对比

研究显示,中国农村地区的空气污染并不比城市地区好。在2013-2016年间,尽管企业和网格层面的废气排放量和PM2.5浓度均呈下降趋势,但城市地区的下降速度更快。特别是在东部和中部中国,农村地区的PM2.5污染几乎与城市地区一样严重。总体来看,农村地区的空气污染问题不容忽视。

高铁开通对城乡空气污染的影响

高铁的开通进一步加剧了城乡之间的空气污染差距。数据显示,在高铁连接后,农村地区的废气排放强度增加了1.93%,而城市地区则减少了0.72%。此外,农村地区的PM2.5浓度减少了6.25%,而城市地区减少了10.49%。这表明高铁的开通使城市地区在减少空气污染方面受益更多,从而扩大了城乡差距。

高铁对城乡公共健康影响的差异

高铁开通对心血管疾病死亡率的影响也存在城乡差异。研究发现,在高铁连接后的三年内,城市地区的心血管疾病死亡率减少了3.60%,而农村地区仅减少了0.88%。这种差异随着时间的推移而加剧,显示出高铁开通对城市地区公共健康的更大益处。

结论

高铁加剧城乡污染与健康不平等

研究发现,高铁开通后,城市地区在减少废气排放强度、PM2.5浓度和心血管疾病死亡率方面的改善显著优于农村地区。这种差异与资源向城市地区的重新分配密切相关,表明高铁作为一项政策工具可能无意中扩大了城乡环境与公共健康的差距。这一现象提醒我们,在推动基础设施建设时需更加关注其对农村的潜在不利影响。

农村空气污染问题不容忽视

尽管传统观点认为空气污染主要集中在城市,但研究表明,中国农村地区的PM2.5污染几乎与城市相当,尤其是在东部和中部人口密集区域。此外,农村地区的废气排放强度始终高于城市。这表明农村空气污染同样严峻,并且由于资源匮乏,农村更易受到环境风险的影响。因此,应将更多注意力转向农村地区的空气污染治理。

资源再分配驱动城乡差距扩大

高铁开通促进了知识、投资和技术等资源的空间流动,但这些资源更多集中于城市地区,进一步拉大了城乡差距。例如,城市企业因高铁获得了更多的商务接待支出、投资和高技术认定机会,而农村企业在能源效率和生产力提升方面则落后于城市同行。这种资源分配的不平衡直接导致了城乡污染和健康差距的持续扩大。

局限性与展望

本研究基于中国国家税务调查数据库,可能存在农村中小企业代表性不足的问题,从而低估了城乡污染差距。此外,研究结果的普适性需谨慎解读,因为中国的户籍制度和其他国家的城乡迁移政策存在差异。未来研究可聚焦印度等不同制度背景下的高铁建设,以验证结论的广泛适用性。

主要图表



图 1. 2013–2016年中国城乡地区空气污染状况。a–c,我们展示了中国城乡地区的企业级废气排放(a)、企业级废气排放强度(b)以及1 km × 1 km网格级PM2.5浓度(c)。我们使用二次函数估计时间趋势,数据以估计均值(实线)±95%置信区间(灰色阴影)呈现。城乡地区分别拟合(蓝色实线代表城市地区,黑色实线代表农村地区)。所有变量均采用反双曲正弦变换(即 arsinh(x) = log[x + √x² + 1])。



图 2. 2013–2016年中国东、中、西部城乡地区空气污染状况。a–c,我们分别展示了中国东、中、西部城乡地区的企业级废气排放(a)、企业级废气排放强度(b)以及1 km × 1 km网格级PM2.5浓度(c)。我们使用二次函数估计时间趋势,数据以估计均值(实线)±95%置信区间(灰色阴影)呈现。城乡地区分别拟合(蓝色实线代表城市地区,黑色实线代表农村地区)。所有变量均采用反双曲正弦变换(即 arsinh(x) = log[x + √x² + 1])。



图 3. 高速铁路开通后,城市地区企业获得更多资源并提升效率。本图展示了高速铁路开通对若干企业级变量的不均衡影响。除“高新技术企业”外,所有因变量均先采用反双曲正弦变换(即 arsinh(x) = log[x + √x² + 1]),再进行标准化处理(能源消耗强度按总产出标准化,其余按员工数量标准化)。所有回归均采用公式(2)估计,详细结果见补充表6和7。数据以HSR×Urban估计系数(点)±95%置信区间(误差线)呈现。




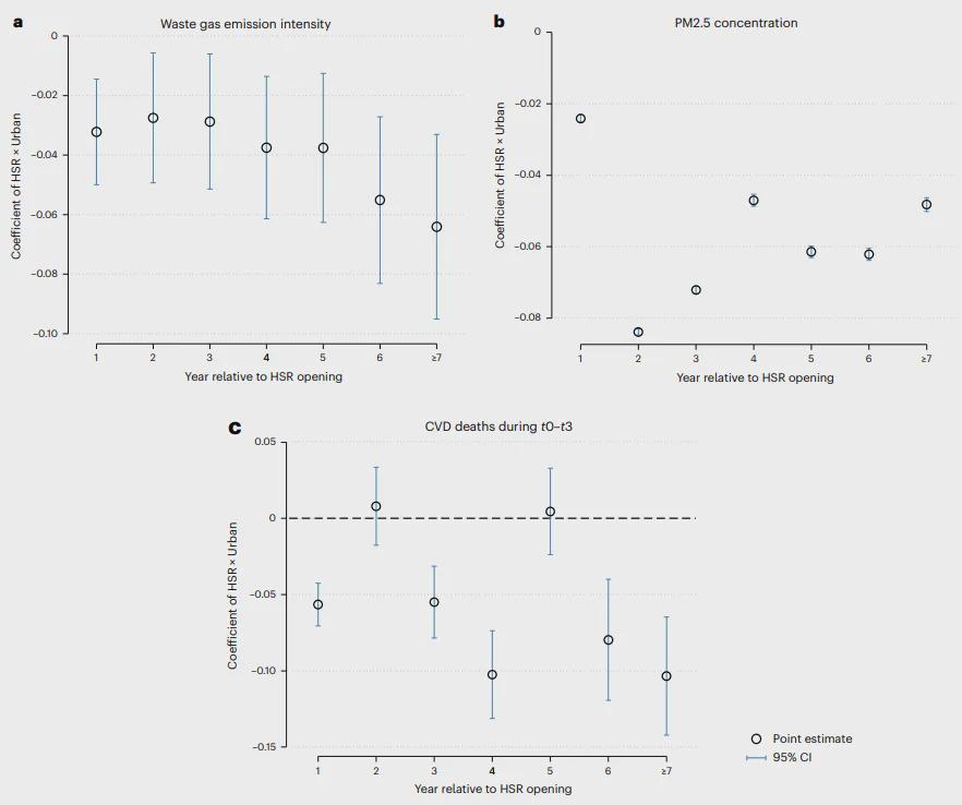
图 4. 高速铁路开通在城乡地区不均衡影响的时间动态。a–c,我们展示了高速铁路开通在城乡地区对企业级废气排放强度(N = 334,893)(a)、PM2.5浓度(N = 37,869,590)(b)及心血管疾病累计死亡人数(N = 887,855)(c)方面的不均衡影响,时间点为高速铁路开通后不同年份。效应通过公式(3)、(7)和(11)估计。时间窗口跨度为高速铁路连接后一年至七年及以上。所有因变量均采用反双曲正弦变换(即 arsinh(x) = log[x + √x² + 1])。数据以HSR×Urban估计系数(点)±95%置信区间(误差线)呈现。详细结果列于补充表8–10。



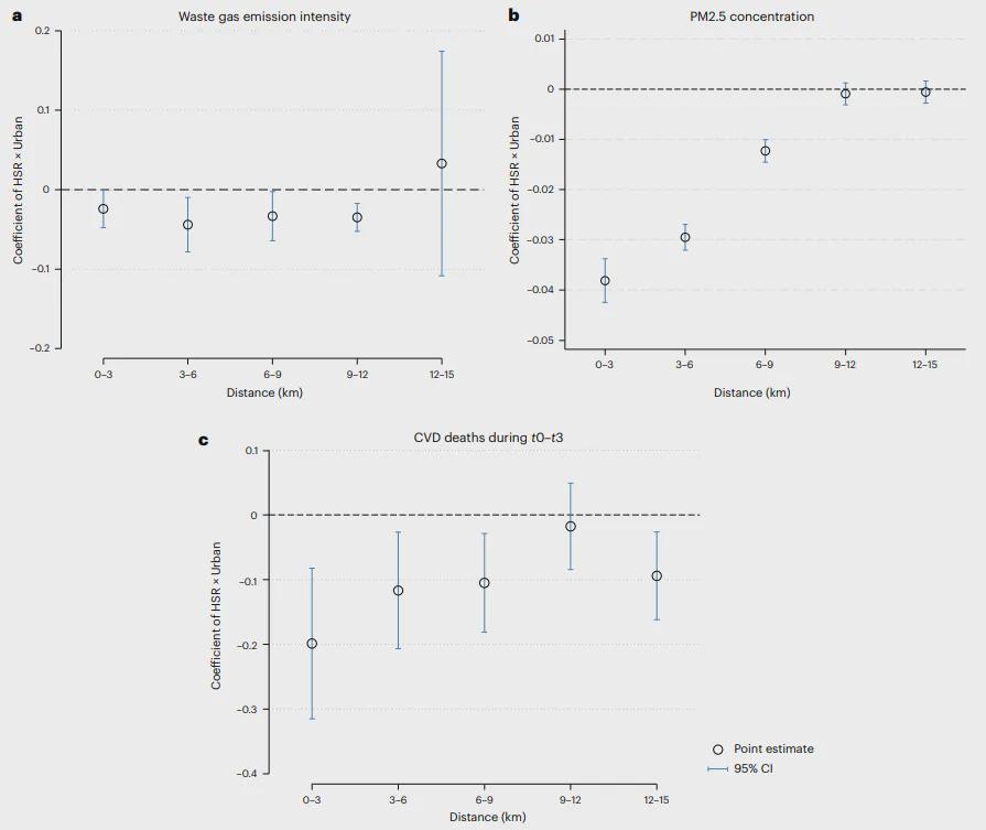
图 5. 高速铁路开通在城乡地区不均衡影响的空间格局。a–c,我们展示了高速铁路开通在城乡地区对企业级废气排放强度(a)、PM2.5浓度(b)及心血管疾病累计死亡人数(c)方面的不均衡影响,距离维度为距高速铁路车站不同距离。效应通过公式(4)、(8)和(12)估计。我们构建了五个缓冲环:0–3 km、3–6 km、6–9 km、9–12 km 和 12–15 km。我们排除了距高速铁路车站超过15 km的样本,因为距高速铁路车站超过15 km的城市与农村样本量存在巨大差异(补充表2)。所有因变量均采用反双曲正弦变换(即 arsinh(x) = log[x + √x² + 1])。数据以HSR×Urban估计系数(点)±95%置信区间(误差线)呈现。详细结果列于补充表11–13。



表 1. 高速铁路开通对空气污染与公共健康的影响

未来的公共政策必须走向包容性的制度设计。充分享受高铁经济与环境双重红利的城市中心区,理应通过设立跨区域专项绿色基金,对周边的农村地带进行生态反哺;同时,应鼓励掌握先进减排技术的高新企业构建城乡技术帮扶网络,彻底打通绿色技术下沉的通道。